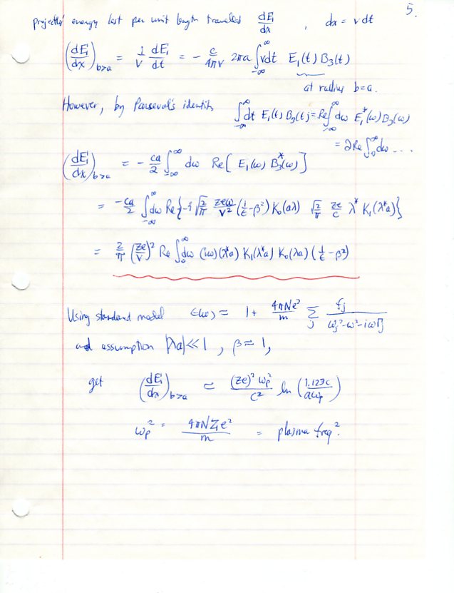
Collisional Energy Losses for Charged Particle Scattering (Jackson, Ch. 13)
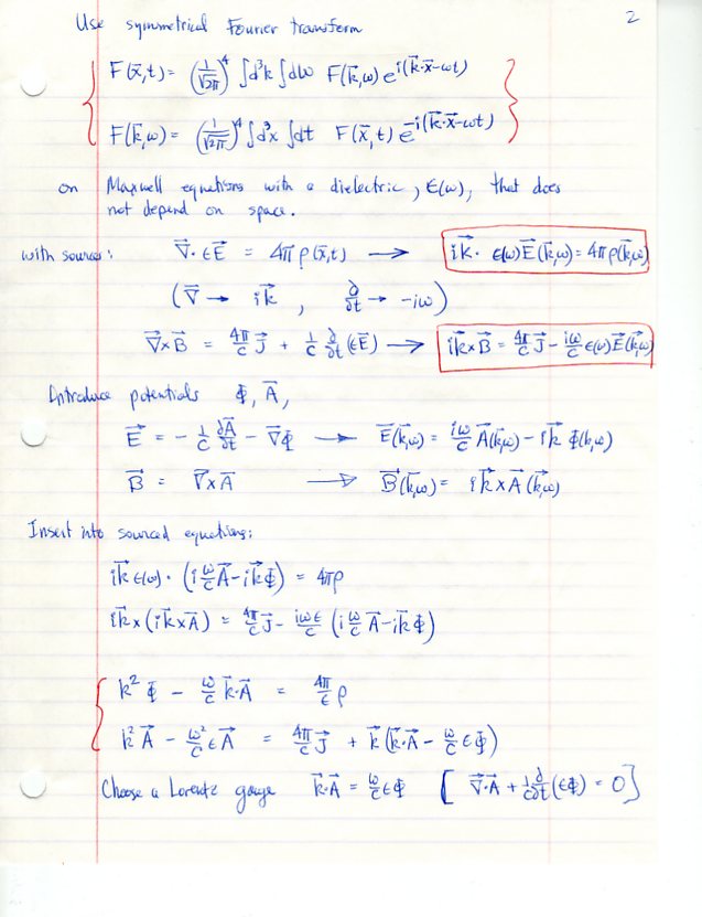
Density Effect in Matter; Cherenkov Radiation