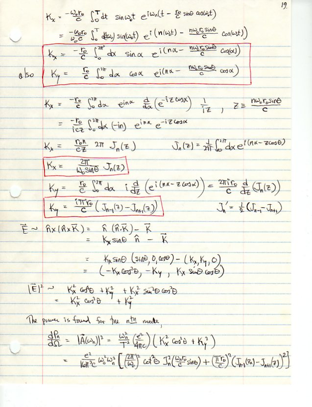
Radiation from Moving Charges (Jackson, Ch. 14)
Frequency Distribution of Power; Synchrotron Radiation