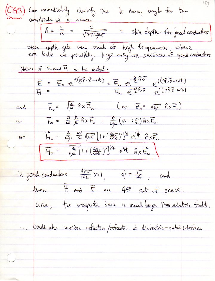
Plane Electromagnetic Waves and Propagation (Jackson, Ch. 7)
Plane waves in conductors, CGS units.