Electrodynamics: Time-varying fields (Jackson, Ch. 6)
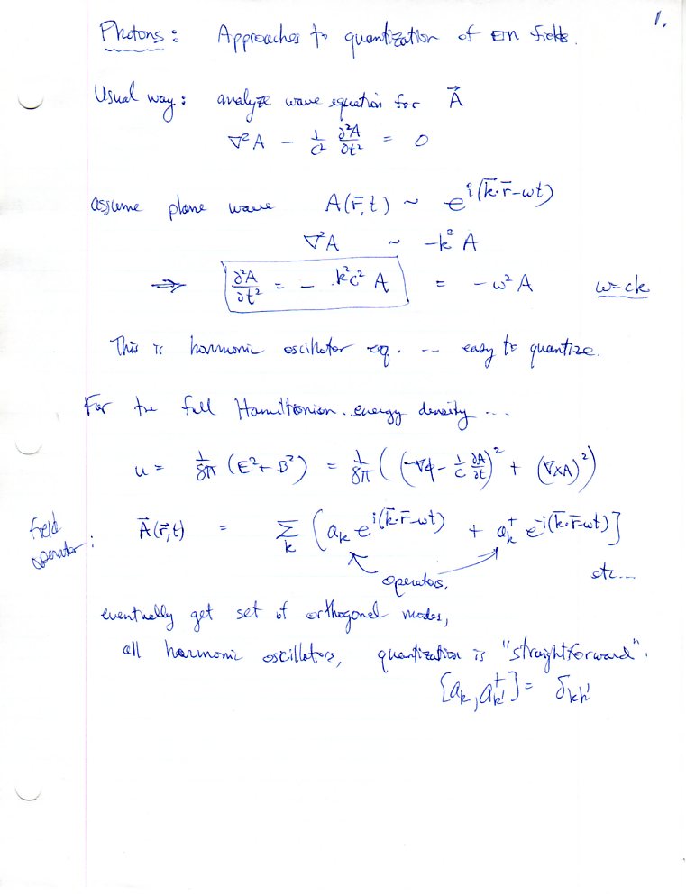
Approaches to EM field quantization: Photons.

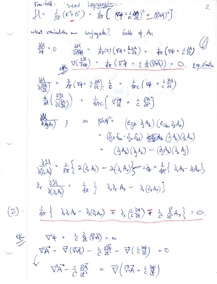
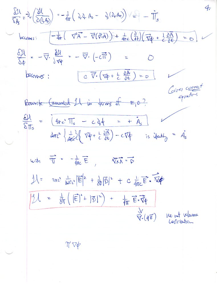
Quantization using the Lagrangian/Hamiltonian formalism:

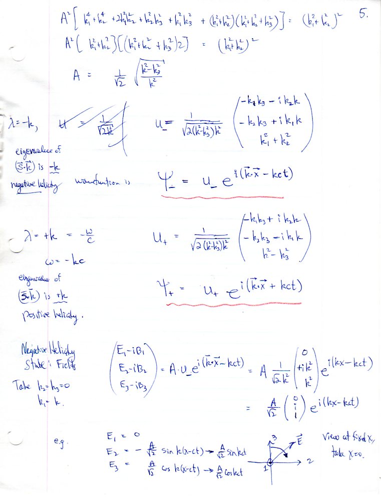
A more modern approach to field quantization: