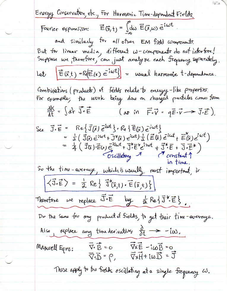
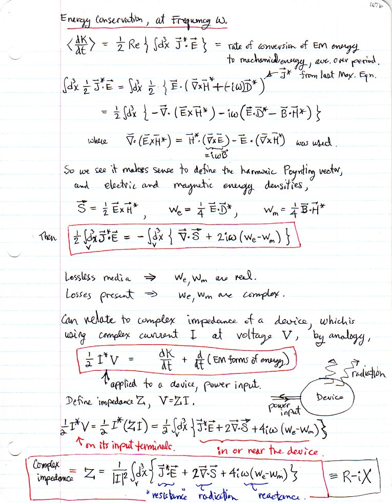
Electrodynamics: Time-varying fields (Jackson, Ch. 6)
Harmonic EM fields, energy conservation and EM device impedance.