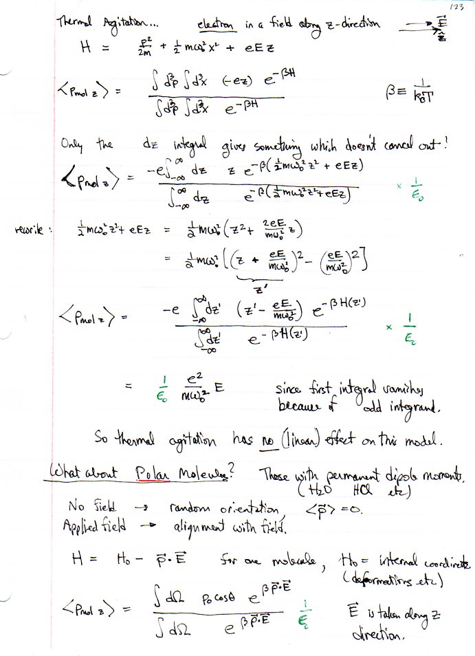
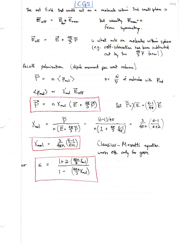
Multipoles, Macroscopic Media, Dielectrics (Jackson, Ch. 4)
Molecular polarizability (SI & CGS); Dielectric electrostatic energy.