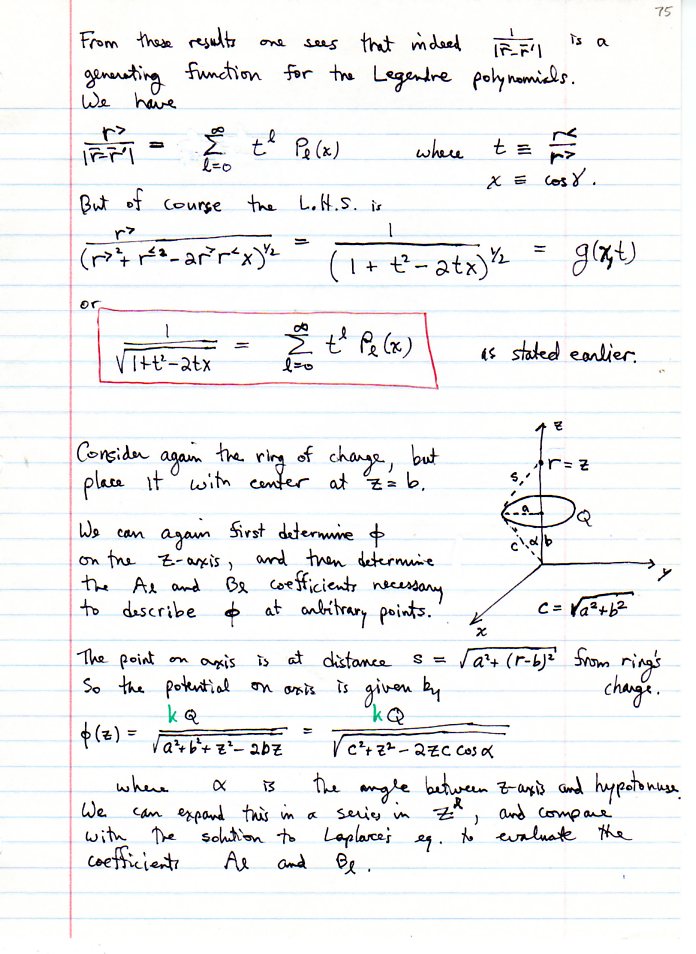
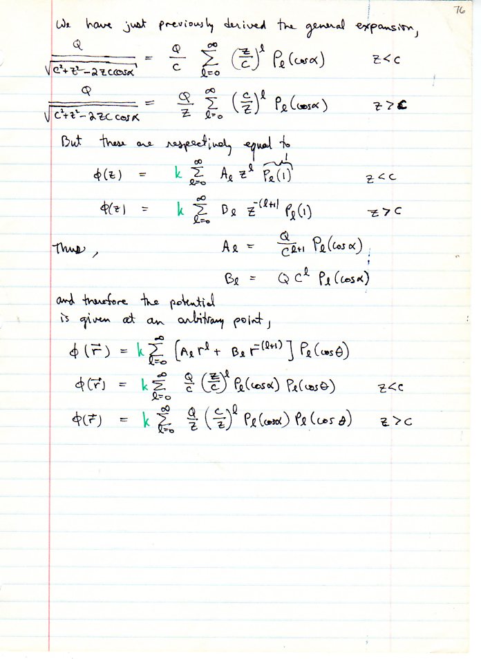
Electrostatic Boundary Value Problems II (Jackson, Ch. 3)
Electrostatic potential problems with azimuthal symmetry.