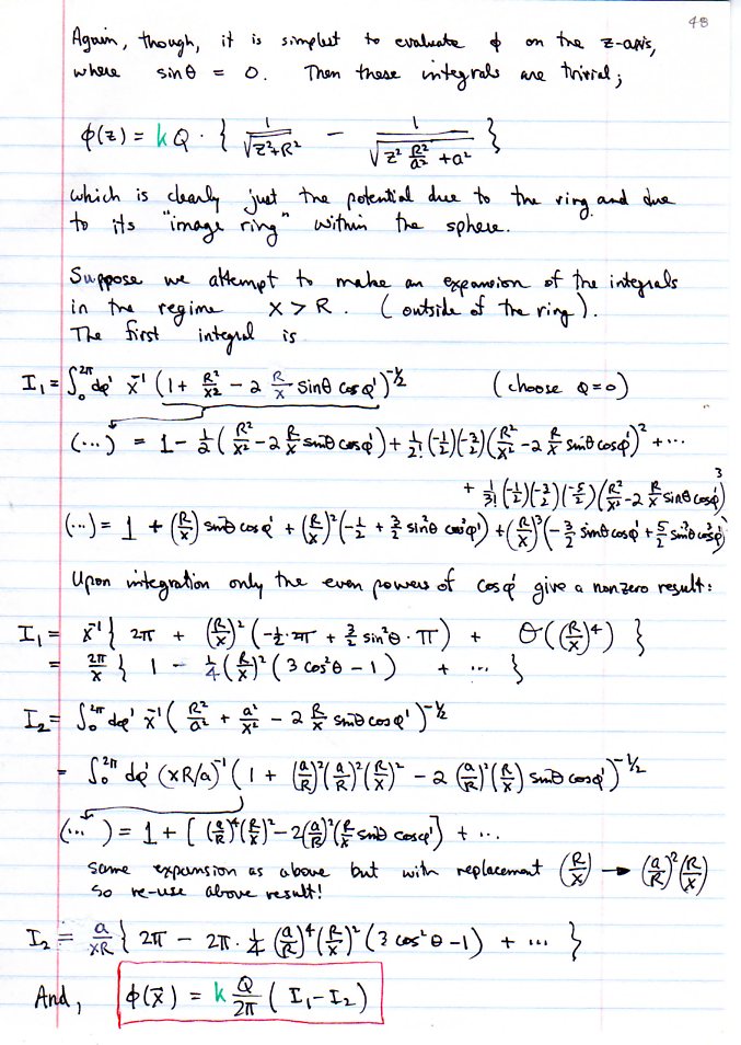
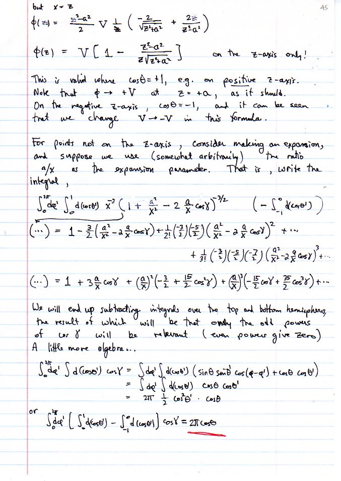
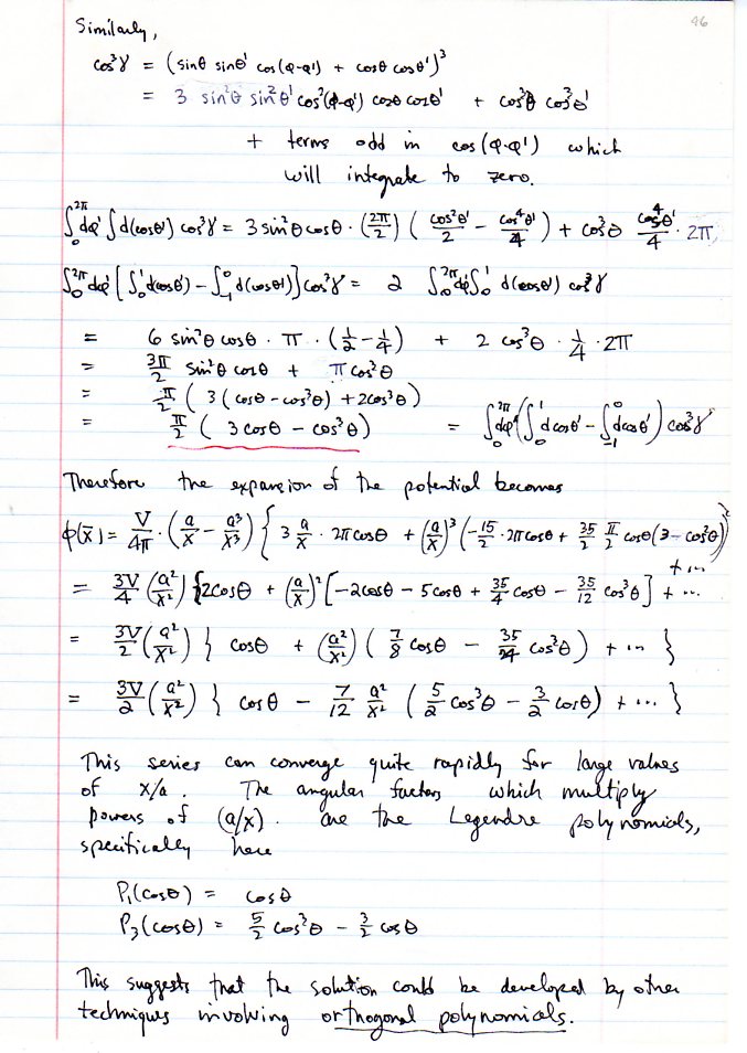
Electrostatic Boundary Value Problems I (Jackson, Ch. 2)
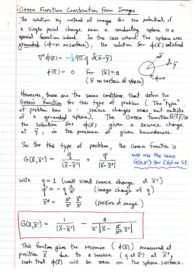
Green function construction from image solutions.