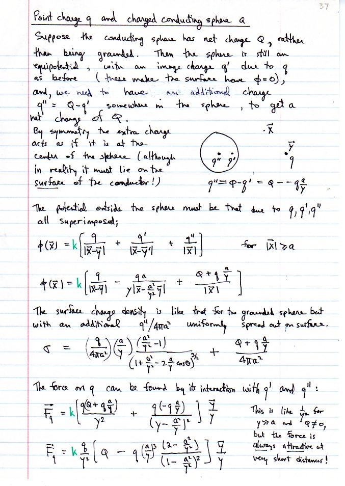
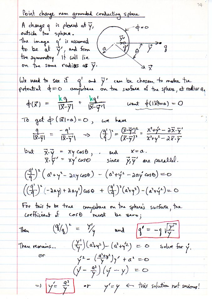
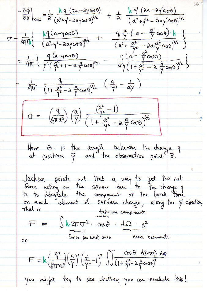
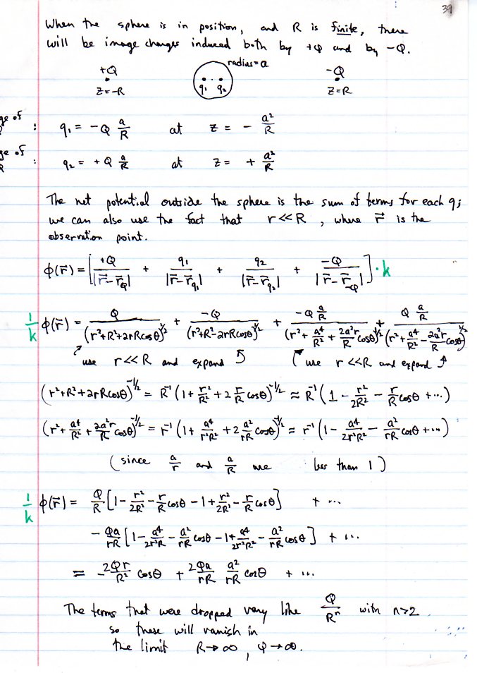
Electrostatic Boundary Value Problems I (Jackson, Ch. 2)
Surface charge density, Method of Images.