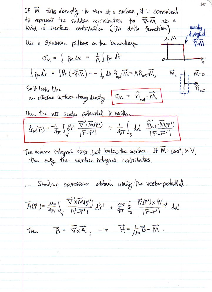
Magnetostatics and Magnetic Materials -- SI (Jackson, Ch. 5)
Magnetic materials and boundary value problems.