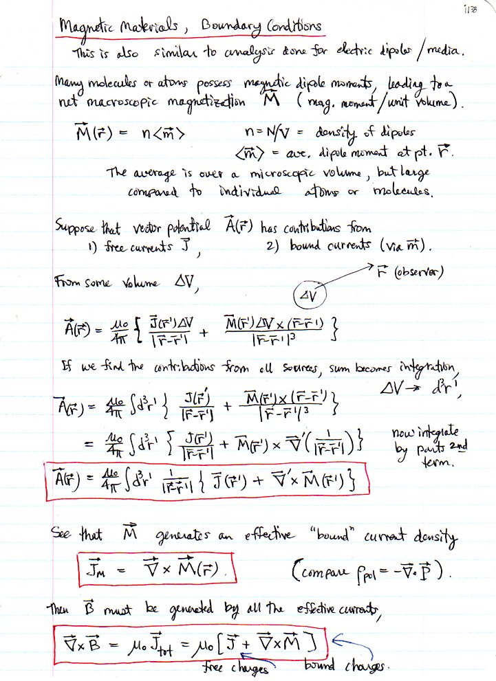
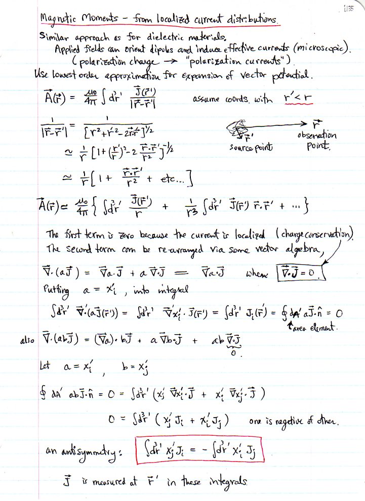
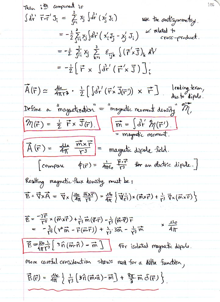
Magnetostatics and Magnetic Materials -- SI (Jackson, Ch. 5)
Magnetic moments; magnetic boundary conditions.