Applied Quantum Mechanics, Physics 709 (Wysin)
Kansas State University, Fall 1998.

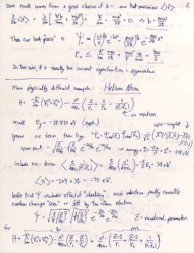
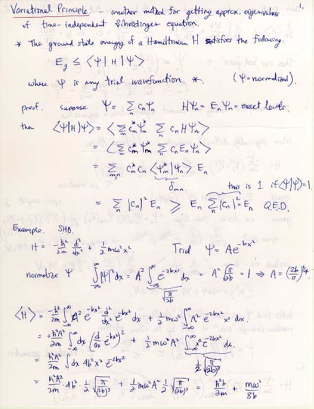
Variational Theory -- Approximations for Eigenstates