Applied Quantum Mechanics, Physics 709 (Wysin)
Kansas State University, Fall 1998.

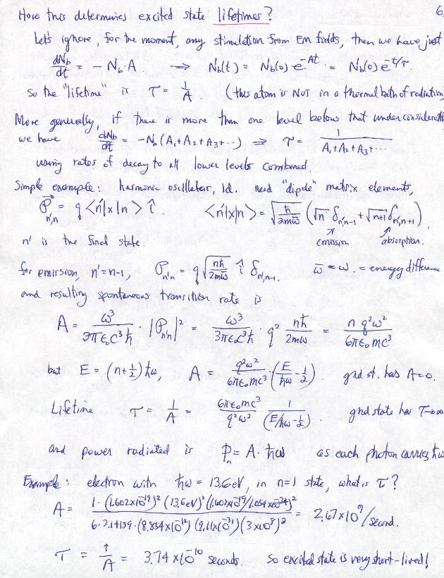
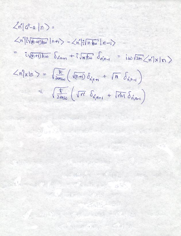
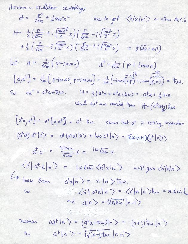
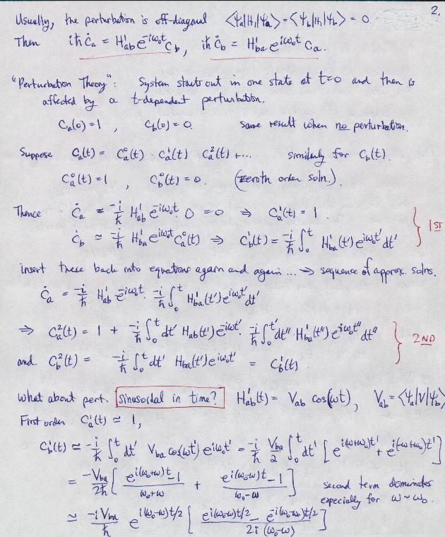
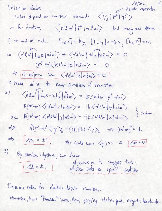
Transitions between States: Time-Dependent Perturbation Theory