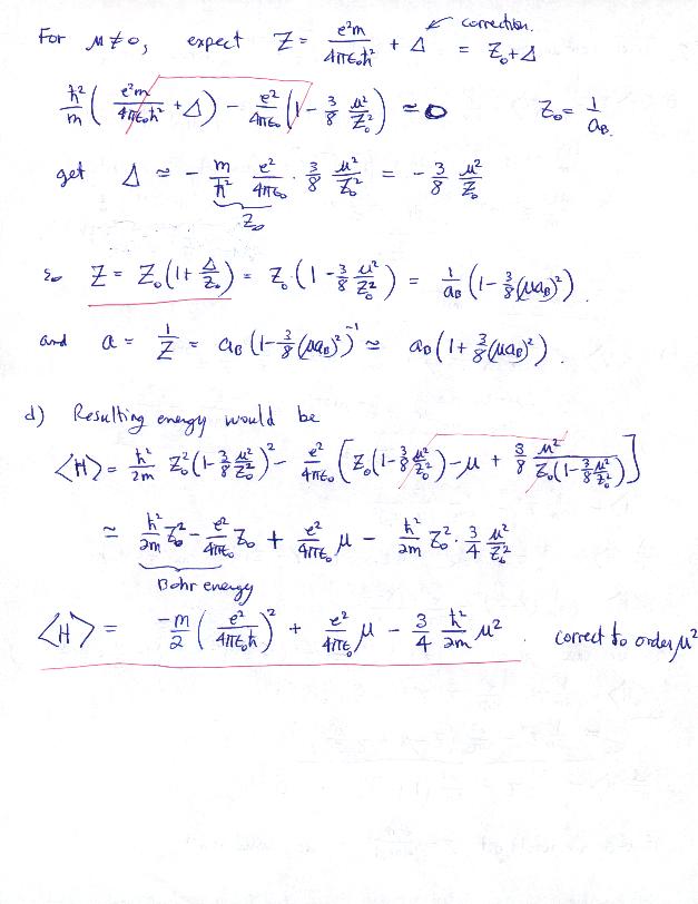
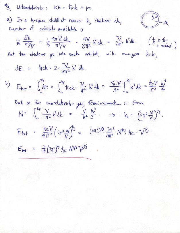
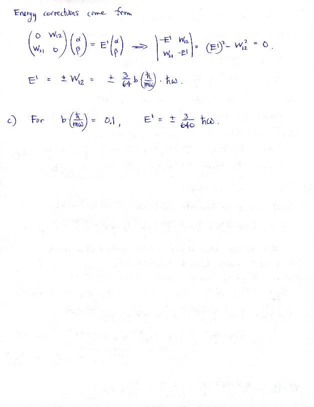
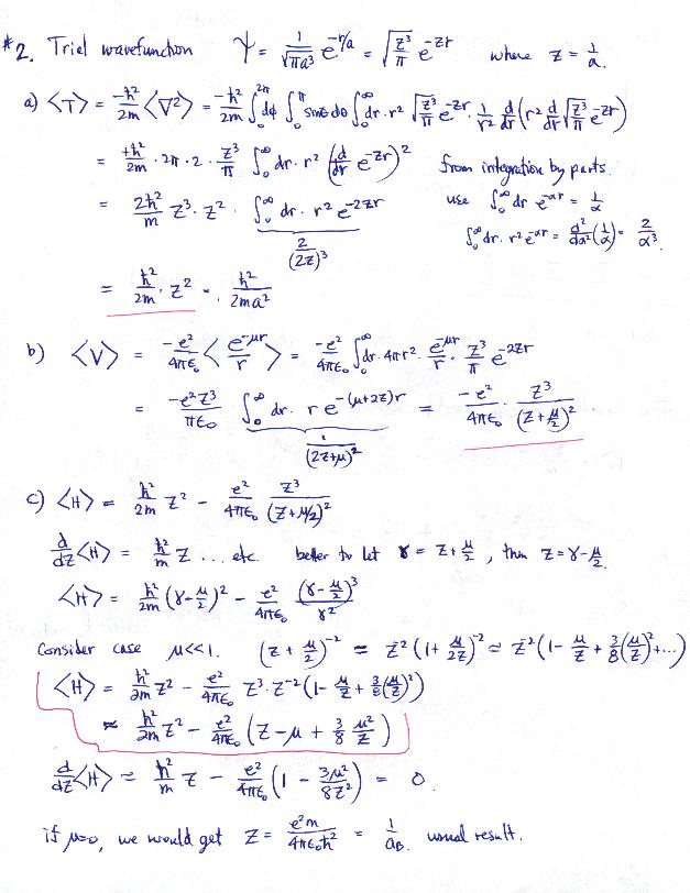
Applied Quantum Mechanics, Physics 709 (Wysin)
Kansas State University, Fall 1998.

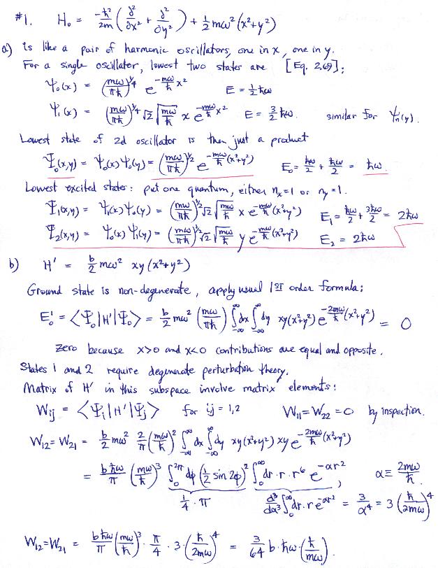
Exam 2 Solution - Approximation Mewthods and Degenerate Gases.