Applied Quantum Mechanics, Physics 709 (Wysin)
Kansas State University, Fall 1998.

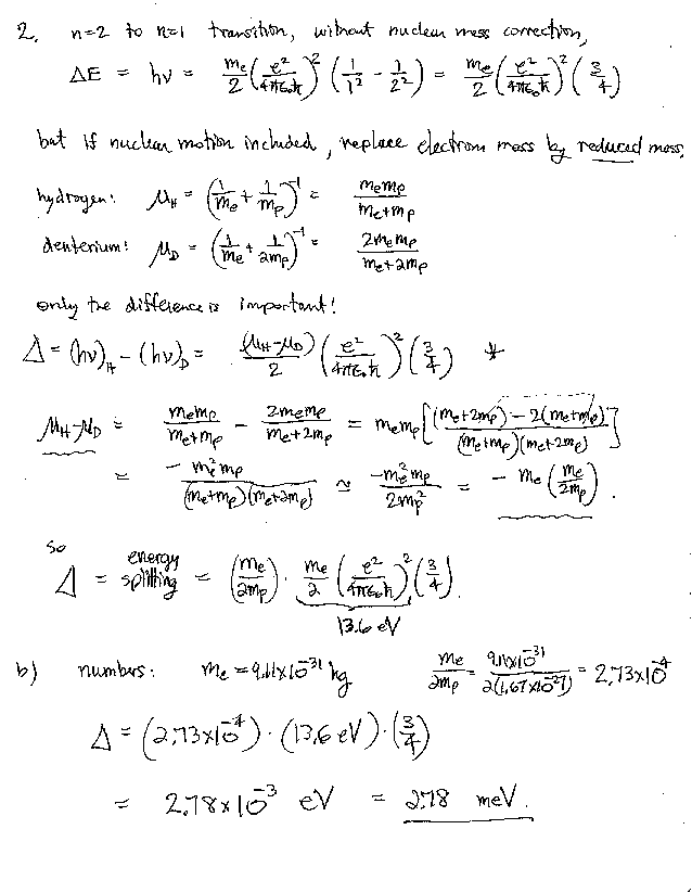
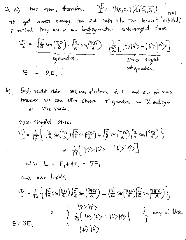
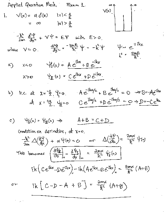
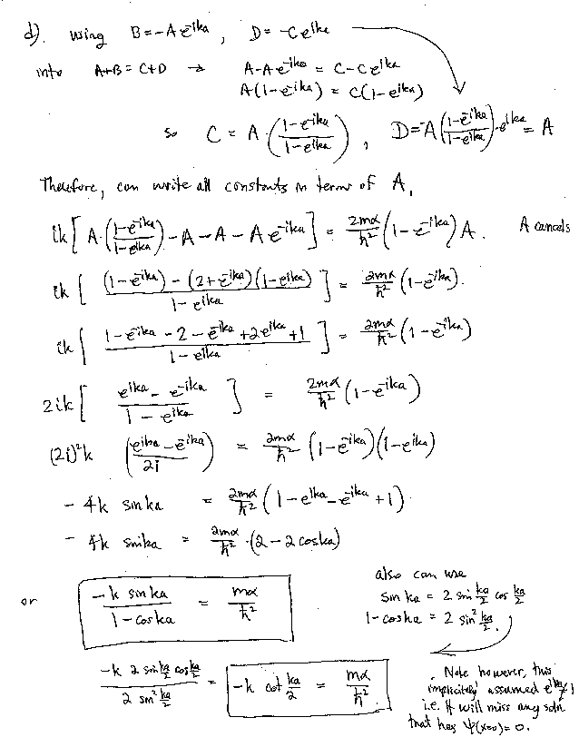
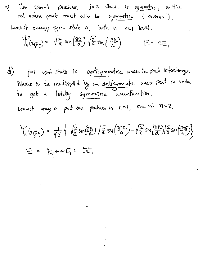
Exam 1 Solution - 1D and 3D Potentials and Identical Particles.