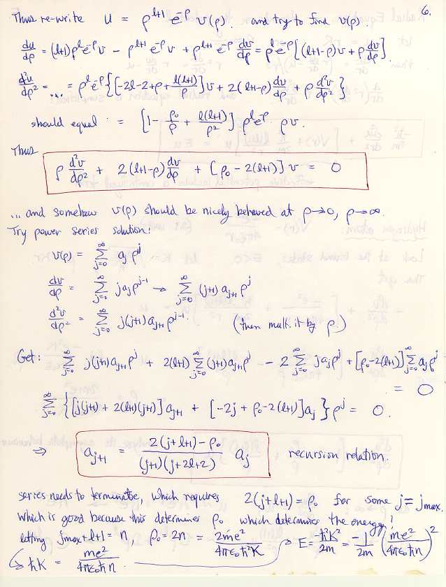
Applied Quantum Mechanics, Physics 709 (Wysin)
Kansas State University, Fall 1998.

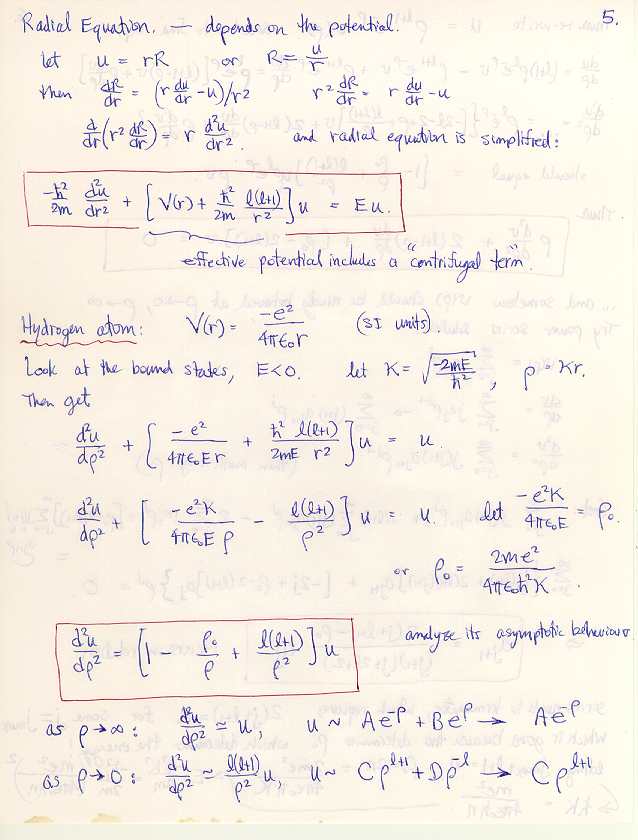
3D Schrodinger Equation